一、正弦、余弦、正切、余切的定义:
如图,在Rt三角形ABC中,∠C=90°,则


锐角A的正弦、余弦、正切、余切都叫做∠A的锐角三角函数。
互余两角的三角函数关系:

正弦、余弦的取值范围:0sina1,0cosa1
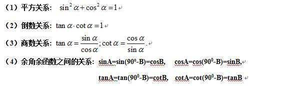
同角的三角函数关系:

二、特殊角的三角函数值:(粗线格里的必须掌握)

(1)正弦值和正切值随着它们的角度增大而增大。
(2)余弦值和余切值随着它们的角度增大而减小。
下文老师会给大家总结一些解直角三角形的模型,感兴趣的可以一起学习。
版权声明:文章来源网络聚合,如有问题请联系删除。





